费马定理到底有多厉害(超越费马猜想的终极难(2)
时间:2022-12-27 10:22 来源:网络整理 作者:采集插件 点击:次
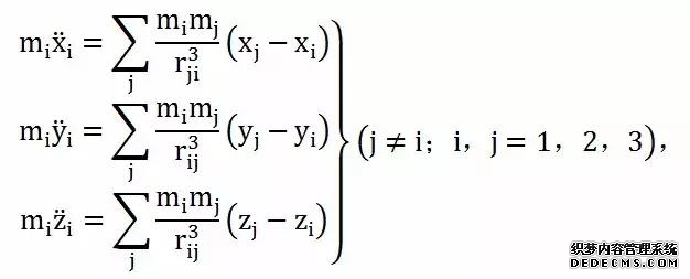
| 设 m 为质点的质量;r 为质点的位置矢量; r ij 为两质点间的距离; F ij 为两质点间的作用力。
于是,三体问题中Q i的运动微分方程可以写为: 上式在直角坐标轴中的投影式为:
所以,三体问题中的每个天体在数学中都可以被写成3个二阶常微分方程,共6阶,三个天体就是18阶。 因为已知积分不足以解决三体问题,所以科学家们的研究方向,就是如何去简化数学式了。 著名数学家布伦斯和庞加莱曾证明n体问题只有10个运动积分,即3个动量积分,3个关于质心运动的积分,3个动量矩积分和1个能量积分,而且它们都是代数式。 应用这10个积分可将三体问题的18阶方程降低到8阶,再用“消去时间法”降低到7阶,又用“消去节线法”降低到6阶。如为平面三体问题则可降为4阶。 不过,消除了运动积分和时间、结线、维度的三体问题,只能被称为“理想状态”下的三体问题。
若想要解决完整的三体问题,所有的积分和条件就都需要考虑进来了,“理想状态”下的三体问题,只是给完整的三体问题指了一条明路。 三体问题的研究成果 在三体问题被提出后的两百年间,几乎所有18、19世纪的著名数学家都尝试过去求解,但研究进展微乎其微,直到希尔伯特那次著名的演讲,才终于有了突破。 这次三体问题的突破,主要是发现了三体运动的三种特殊情况,在这三种特殊情况下,三体问题具有特解。 1.拉格朗日-欧拉族:三星成三角形,围绕三角形中心旋转;
2.布鲁克-赫农族:两颗星围绕第三颗星旋转;
3. 8字型族:三个等质量的物体在一条8字形轨道上运动。
但同样,这也属于“理想状态”下三体问题的范畴,为了更直观解决三体问题,后来的科学家们还提出了“限制性三体问题”:
在限制性三体问题的条件下,三体运动已经是对实际物理简化得很厉害了,比如说对质点,球体自转、形状这些因素统统不考虑。 然而无论怎么变化,牛顿、拉格朗日、拉普拉斯、泊松、雅可比、庞加莱等等大师们,为这个问题穷尽精力,也未能将它攻克。 科学发展到现在,三体问题的求解过程真的是一部令人心酸的简化史。
虽然三体问题没有被最终攻克,但科学家们在研究过程中,取得了非常有用的成果。 1772年,拉格朗日在“平面限制性三体问题”的条件下找到了五组特解,从而发现了沿用至今的“拉格朗日点”。 (责任编辑:admin) |






