浅析A股与沪深300期指的“日历效应”(2)
时间:2023-11-19 19:59 来源:网络整理 作者:墨客科技 点击:次
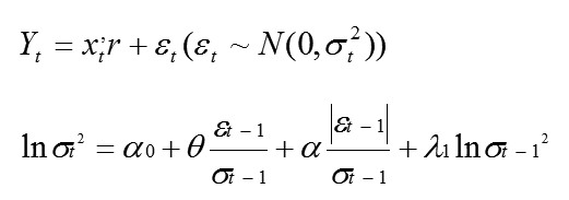
EGARCH全称为广义自回归异方差,其条件方差方程为:
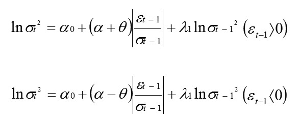
当εt-1>0即出现一个利好消息带来正向波动时,在方程中加入一个θ系数来反映这种波动;当εt-1<0即出现一个利空消息带来负向波动时,在方程中减去一个θ系数来反映这种波动,这种反映非对称性的方程为:
数据来源与处理 本文选取的样本为上证指数和深圳成分指数,选取的样本区间是1999年1月4日到2016年3月16日。对于中国的股指期货市场的考察,选取的指标为一个加权的IF指数,样本区间是2010年4月16日到2016年3月16日。为了使研究数据更加平稳,采取日收盘价的对数收益率进行分析, 令pt为t时的收盘价, pt-1为t-1时的收盘价, 对数收益率定义为:<Z:\KT2016\160928C4.tif>。在这三个指数的研究中将都采取这种方法。为了使研究出来的结果充分反映股指期货市场的“日历效应”特征,所以构造出一个基于成交量的加权指数,该加权指数就是将四个合约进行加权平均“沪深300股指期货合约加权指数”,将这个指数记为IF加权指数。其中IF加权具体的计算公式为 IF1定义为当月IF合约的收盘价,IF2定义为下月IF合约的收盘价,IF3定义为下一个季月IF合约收盘价,IF4定义为再下一个季月IF合约收盘价。ωi定义为i种合约在某一日的成交额占四种合约总成交额的权重。 数据检验——非正态检验 第一步要做的检验就是对于数据非正态进行检验。针对数据非正态性检验,本文主要采取的是shapiro-wilk方法、JB方法和K-S方法。 在表1的结果中可以看到,当预先给定的置信水平为99%时,渐进显著性都为0,明显比0.05的值要小,因此说明所研究对象都是非正态的,同时研究对象都不同程度地有向左偏的收益形态和比较明显的厚尾尖峰现象。
表1为股市、股指期货市场收益分布特征 采用Kolmogorov-Simirnov方法,检测结果也与上述两种方法一致。这就满足了接下来使用EGARCH-M模型进行分析的第一个数据的设定条件。 表2为单样本K-S检验 (责任编辑:admin) |


